当软水器制水运行时间达到设定时间或制水量达到设定的周期制水量,或出水硬度不合格时,需要启动再生,进行反洗、吸盐和慢洗、盐罐补水、正洗等工序,正确计算再生时相关工艺参数非常重要。

软水器工作流程(上图为F69型号控制阀)
虽然自动软水器的盐水罐中加入的盐量往往可进行多次再生,而不是每次再生都加盐,但仍需通过式1估算一次再生所需的用盐量(mz),以便估算吸盐时间,并可对实际用盐量的合理性进行评估。

式中:
mz——再生一次所需的用盐量,kg;
VR——树脂罐内树脂的填装体积,m3;
E——树脂的工作交换容量,一般钠离子交换树脂为(800~1200)mol/m3,通常可按1000mol/m3计算;
k——再生剂比耗,对于钠离子交换树脂,一般逆流再生时取1.2~1.7,顺流再生时取1.8~2.2;
M——再生剂的摩尔质量,用盐再生时,NaCl为58.5;
ε——再生剂的纯度,一般食盐或工业盐中NaCl含量为95%~98%。
在保持盐罐内存在固体盐,且设置的吸盐时间充足的情况下,自动软水器实际再生用盐量主要取决于盐罐内的盐液高度。
常温下饱和盐水浓度为26.3%,因此将1kg的盐溶解成饱和溶液约需2.8L水,则盐罐补水所需控制的盐水液位高度可按式2估算。

式中:
H——自动软水器盐罐补水后液位高度,m;
mcz——一次再生所需用盐中氯化钠的量(mcz=mz×ε),kg;
RY——盐罐内壁半径,m。
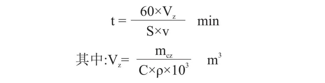
当一次再生用盐量和再生流速确定后,理论上吸盐时间的设定可按式3估算。
由于自动软水器吸盐是通过射流器吸入饱和盐水并稀释后进入树脂罐,因而实际进盐流速和稀释后的盐水浓度、体积与软水器配置的控制阀、射流器以及进水压力等因素有关。
润新软化阀可在使用说明书中根据树脂罐直径大小选配合适的软水阀和射流器,进而查得对应的盐水体积和进盐流速,从而得到再生吸盐时间。

式中:
t——再生时吸盐时间,min;
Vz——盐水稀释后进入树脂罐的体积,m3;
S——树脂层截面积,m2;
v——再生液(盐水)流速,m/h;
mcz——再生一次所需用盐中氯化钠的量(mcz=mz×ε),kg;
C——稀释后进入树脂罐的盐水浓度,%(一般6%~8%);
ρ——稀释后进入树脂罐的盐水密度(<1.06,可忽略不计)。
一台顺流再生的软水器,树脂罐内径为0.5米,树脂填装高度为1.4米;通过配置的软水阀和射流器,从说明书查得再生时控制盐水浓度6%,进盐流速为5m/h。
① 再生一次需要氯化钠含量96%的工业盐多少kg?该软水器树脂体积VR=3.14×0.252 ×1.4≈0.27m3,顺流再生比耗取2,树脂工作交换容量以1000mol/m3计,再生一次需要盐量:

② 若盐罐内径为0.4m,再生后盐罐补水高度多少为宜?一次再生用盐中纯氯化钠含量mcz=33×96%≈32kg,盐罐补水适宜高度:

树脂罐内树脂层截面积S=3.14×(0.5/2)2≈0.2m2,再生吸盐设置时间:

软水器的主要性能指标见下表:
自动控制软水器的主要性能参数 |
连接系统 | 一级钠 | 二级钠 |
顺流再生 | 逆流再生 | 浮动床 |
运行 流速 | m/h | 20 ~ 30 | 20 ~ 30 | 30 ~ 50 | ≤ 60 |
反洗 流速 | m/h | 10 ~ 20 | 10 ~ 20 | - | 10 ~ 20 |
吸盐和慢洗流速 | m/h | 4 ~ 8 | 2 ~ 4 | 2 ~ 5 | 4 ~ 8 |
正洗 流速 | m/h | 15 ~ 20 | 15 ~ 20 | 15 ~ 20d | 20 ~ 30 |
再生液 浓度 | % | 6 ~ 10 | 5 ~ 8 | 5 ~ 8 | 5 ~ 8 |
盐耗 | g/mol | ≤ 120 | ≤ 100 | ≤ 100 | - |
工作交换 容量c/ | (mol/m3) | ≥ 800 | ≥ 900 | ≥ 900 | - |
1.用于工业设备软化水处理的软水器再生吸盐时间一般应不少于30分钟。 |
2.再生过程结束时出水氯离子含量应不大于进水氯离子含量的1.1倍。 |
a、指工业用软水器运行流速上限为短时最大值,民用软水器运行流速可适当放宽,但不应影响用户对制水质量的需求。 |
b、指再生液浓度指常温下经射流器稀释后进入离子交换树脂层的盐水浓度。 |
c、指钠离子交换树脂的工作交换容量,弱酸性阳离子树脂工作交换容量≥1800 mol/m3。 |
d、指浮动床正洗指再生后从下往上的顺洗。 |