水处理设备研发生产厂家
原水净化、污水处理一站式服务厂商
全国服务热线
150-0292-2428



对于水源水中碱度较高的地区,锅炉补给水若完全采用钠离子交换的软化水,由于钠离子交换除去了钙镁硬度,水中保留的碱度将随着锅水蒸发浓缩而越来越高。过高的碱度不仅容易影响蒸汽质量,严重时还将对金属产生碱性腐蚀,如果为了降低锅水碱度而过于提高锅炉排污率则不利于节能减排。因此,碱度较高的原水(碱度>2.5mmol/L)用于锅炉补给水的,不但要进行软化处理,而且要考虑降碱处理。
工业锅炉常用的软化降碱处理方法主要有:部分软化法、氢-钠离子交换法、氨-钠离子交换法。由于篇幅较长,本文仅做“氢-钠离子交换法”分享,部分软化法、氨-钠离子交换法将在之后另做分享。

“润新阀”在氢-钠离子交换软化降碱处理系统中的应用
氢-钠离子交换法处理,是将一部分原水通过H+交换树脂处理,使水呈酸性;另一部分原水通过Na+交换树脂处理,除去硬度呈碱性水,两者混合后得到中和,在除去硬度的同时,降低水中的碱度,以便锅炉在正常蒸发浓缩和合理排污情况下,锅水碱度能够符合标准要求。
H-Na离子交换处理系统中包括有H+交换和Na+交换两个过程,它有多种运行方式,下面介绍几种常用方式。
一、采用弱酸性H+交换树脂的H-Na离子交换法
01,采用弱酸性H+交换树脂的H-Na离子交换软化、降碱原理
采用弱酸性H+交换树脂降低水中碱度是一种比较好的方法,具有不产生强酸、交换容量大、容易再生、易控制等优点。因为弱酸性树脂与SO42-、Cl-等强酸性阴离子的盐类难以进行离子交换,一般仅与弱酸盐类发生交换反应,因此交换处理后不产生强酸,而且弱酸性H+树脂交换Na+的能力比较弱,出水中会保留部分NaHCO3,因此弱酸性H+交换器的主要作用是除去水中的碳酸盐硬度(即碳酸氢钙、碳酸氢镁),其反应可用下式综合表示:

H+交换器出水中的CO2通过除碳器除去,然后再进入钠离子交换器,除去其他各类非碳酸盐硬度,从而既降低碱度,又除去硬度。
此外,弱酸性H+交换树脂的交换容量(即除去碳酸盐硬度的能力)几乎是强酸性阳离子交换树脂的2倍,而且树脂失效后,很容易用酸再生,酸耗低,通常再生剂比耗仅为1.1左右,排出的废酸浓度低,较易处理。
因此,虽然弱型树脂价格较高,但由于运行费用低,所以总体来说还是较为经济且相对安全。
02,采用弱酸性H+交换树脂的H-Na离子交换系统
采用弱酸性H+交换树脂和强酸性Na+交换树脂的H-Na离子交换系统如下图所示。原水先进入弱酸性H+交换器,除去碳酸盐硬度,产生的二氧化碳通过除碳器除去,再进入Na+交换器,进一步除去非碳酸盐硬度。

采用弱酸性H+交换树脂的H-Na离子交换系统示意图
由于H-Na离子交换系统最终出水都经过钠离子交换处理,所以弱酸性H+交换器运行终点的控制不需太严格,只要出水中硬度降低量与进水碱度基本相当即可,系统的制水质量主要以控制Na+交换器出水硬度为运行终点。为了使H+交换器与Na+交换器同步失效、同时再生,弱酸性H+交换树脂与强酸性Na+交换树脂的比例应根据原水的碳酸盐硬度(即原水碱度)和非碳酸盐硬度(即原水总硬度与碱度之差值)的比例来确定。同时还应使系统出水保留一定碱度。一般用于工业锅炉的补给水,保留碱度宜控制在0.4 mmol/L~1.0mmol/L。
对于自动控制交换器系统来说,设计时也可以按软水器周期制水量和运行制水时间公式估算并设定制水周期,但公式中的进水平均总硬度YD应作相应修改:对于弱酸性H+交换器,YD为碳酸盐硬度(即原水碱度);对于Na+交换器,YD为非碳酸盐硬度(即原水总硬度与碱度之差值)。同时,工作交换容量E也需作调整:弱酸性H+交换树脂可按1800mol/m3~2000mol/m3计算;Na+交换树脂仍按1000mol/m3计算。
如果两个交换器制水周期差异较大,不利于自动控制,需调整两个交换器的大小及树脂填装量,同时还应考虑最终出水保留一定的碱度。
有些资料介绍将弱酸性H+交换树脂和强酸型Na+交换树脂放在同一树脂罐进行混合处理,这种方法虽然可简化系统,减少设备占地面积,降低采购和安装成本,但运行时存在如下缺点:H+交换产生的CO2不经除碳器除去,影响降碱效果;钠离子交换树脂在酸性条件下,交换能力下降;增加再生时的酸性废水处理量。
二、采用强酸性阳离子交换树脂的H-Na离子交换法
01,强酸性树脂H-Na离子交换的软化、降碱原理
强酸性阳离子交换树脂用酸再生后成为H+交换树脂(RH)。进水经H+交换树脂处理后,水中各种阳离子都被H+所交换,其交换反应可用下式综合表示:

由反应式可知,经H+交换后,原水中各种强酸阴离子与H+形成了强酸,所以出水呈较强的酸性。由于阳离子交换树脂对钠离子的交换能力弱于对钙镁离子的交换能力,所以H+交换树脂失效时,出水中Na+含量首先增大。当H+交换器以控制出水的Na+含量为运行终点时,出水酸度和原水中强酸阴离子的量相当。但如果H+交换器出水Na+含量增高(也称漏钠)后并不再生,而是继续运行到出水出现硬度(也称漏硬度)时才进行再生,即交换器运行以控制硬度为终点,则从漏钠到漏硬度这段运行期间,出水中的酸度将下降。
原水经Na+交换器处理后,水中各种阳离子被Na+交换,其交换反应可综合表示如下:

由反应式可知,经Na+交换后,除去了硬度而碱度不变,即出水成为碱性水。
将H+交换处理后的酸性水与Na+交换处理后的碱性水互相混合,发生中和作用,其反应式如下:
2NaHCO3 + H2SO4 → Na2SO4 + 2H2O + 2CO2↑
NaHCO3 + HCl → NaCl + H2O + CO2↑
中和后产生的CO2可用除碳器除去。
02,强酸性树脂的H-Na离子交换系统常见形式
强酸性树脂的H-Na离子交换系统常见形式主要有并列系统和串联系统两种:
a)并联H-Na离子交换系统

并联H-Na离子交换系统将进水分成两部分,分别送入H+交换器和Na+交换器,然后把两者的出水进行混合,中和产生的CO2由除碳器除去。
需说明的是:采用并联H-Na离子交换系统时,H+交换器运行终点以控制出水Na+为宜。如果以出水漏硬度为运行终点,虽然可以延长制水周期,但H+交换器出水Na+增大后,系统混合出水的碱度会逐渐增高,需增大H+交换器出水配比;而当H+交换器再生后又需及时减少配比,否则会导致混合出水碱度过低,有时甚至会成为酸性水,影响锅炉安全运行。也就是说H+交换器运行终点若以出水硬度为运行终点,需经常调整两种交换器的制水配比,不易控制。
对于自动H+交换器来说,以出水Na+增大为运行终点,还有利于通过测定出水电导率来自动控制交换器的再生。在进水电导率基本稳定情况下,出水Na+增大即意味着H+降低,这时出水电导率测定值会随之明显降低,可指示交换器启动再生。
b)串联H-Na离子交换系统

串联H-Na离子交换系统将进水分成两部分,一部分送入H+交换器中,另一部分与H+交换器的出水混合。这样,H+交换器出水中的酸性物质和原水中的碳酸盐发生中和反应,产生的CO2由除碳器除去,除碳后的水通过水箱再由泵打入Na+交换器。在串联系统中,除碳器应安置在Na+交换器之前,否则含CO2的水通过Na+交换器时,就会产生NaHCO3,使软水碱度重新增加。
03,并联和串联H-Na离子交换系统的比较
从设备来说,由于并联系统中只有一部分原水送入Na+交换器,而在串联系统中,全部处理水最后都要通过Na+交换器,所以在出力相同时,并联系统中Na+交换器所需的容量较小,而串联系统的较大。因此,并联系统比较紧凑,投资较少。
从运行来看,串联系统的运行不必严格控制和调整处理水量的配比,因为串联时即使一时出现经H交换水和原水混合后呈酸性,由于还要经过Na+交换(H+都将被交换成Na+),所以最终出水不会呈酸性,故串联系统较为安全可靠,且H+交换器的交换能力可以得到充分利用。而并联系统中的H+交换器若要运行到漏硬度时进行再生,就必须及时调整并严格控制两种交换器处理水量的配比,以保证混合后的软水保持一定的碱度。
04,H-Na离子交换的处理水量配比
采用H-Na离子交换处理时,应根据原水水质来合理调整两种离子交换器处理水量的比例,以保证两个交换器出水混合后保留碱度为0.4mmol/L~1.2mmol/L。
设X为H+交换器处理水量占总水量的份额,则(1-X)为:并联系统中经Na+交换器处理水量的份额;或串联系统中不经H+交换器处理的那部分水量的份额。
由于H-Na离子交换处理后,混合软水中仍需保留一定的碱度,因此无论是采用并联还是串联系统,两种水混合后,都应满足下式要求:
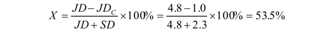
(1-X) JD - XSD = JDC
整理该式,得:
式1

式中:
JD ——原水的碱度,mmol/L(HCO3-);
JDC——经过H-Na离子交换处理后水中应保留的碱度,mmol/L(HCO3-);
SD——H+交换器出水酸度,mmol/L(H+);当以控制Na+为交换器运行终点时,相当于原水中强酸阴离子的总含量;当以控制硬度为运行终点时,相当于原水中非碳酸盐硬度的量。
由此可见,H+交换器和Na+交换器的处理水量配比,因H+交换器的控制终点不同而分为两种情况:
a)H+交换器以控制Na+增高为运行终点,其处理水量配比可直接按式1进行估算;
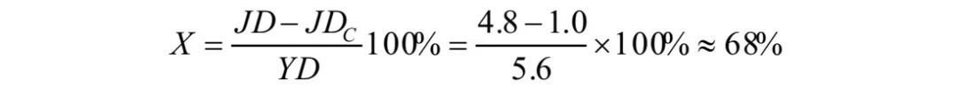
b)H+交换器以控制漏硬度为运行终点,这时出水酸度相当于原水中非碳酸盐硬度的量,而原水的碱度相当于碳酸盐硬度,因此两者之和即为原水的总硬度(YD),所以此时式1可改为式2。
式2

举例
某工业锅炉所用的原水水质为:硬度=5.6mmol/L、碱度=4.8mmol/L,采用H-Na并联系统处理,要求处理后的软化水保留碱度约1.0mmol/L,总处理水量为20m³/h。H+交换器以控制Na+为运行终点时,出水平均酸度为2.3mmol/L,求H+交换器以控制Na+为终点,或者两个交换器都以出水硬度为控制终点时,H+交换器和Na+交换器的处理水量配比分别为多少?
解:
① H+交换器以控制Na+为终点时的水量配比:

即当以控制Na+为终点时,两个交换器的处理水量分别为:
H+交换器的处理水量=53.5%×20=10.7m³/h;
Na+交换器的处理水量=20-10.7=9.3m³/h。
② H+交换器以控制硬度为终点时的处理水量配比:

此即表明,当H+交换器出水Na+含量增高后,由于出水酸度降低,H+交换器的处理水量应增至为:68%×20≈13.6m³/h;Na+交换器的处理水量减少为:20-13.6=6.4 m³/h。但H+交换器再生后,处理水量又需调整回10.7 m³/h,所以不方便控制。
扫一扫 添加技术人员微信 一对一咨询
西安康美净环保
公司邮箱:168643044@qq.com 邮政编码:710000
联系电话:150-0292-2428